1. 다음 중 정전계에 대한 설명으로 가장 알맞은 것은?
① 전계에너지와 무관한 전하분포의 전계이다.
② 전계에너지가 최소로 되는 전하분포의 전계이다.
③ 전계에너지가 최대로 되는 전하분포의 전계이다.
④ 전계에너지를 일정하게 유지하는 전하분포의 전계이다.
정전계의 성질
- 가장 안정적인 상태
- 에너지가 최소인 상태
답 ②
2. 2개의 물체를 마찰하면 마찰 전기가 발생한다. 이는 마찰에 의한 열에 의하여 표면에 가까운 무엇이 이동하기 때문인가?
① 전하 ② 양자 ③ 구속 전자 ④ 자유전자
답 ④
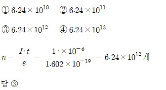
3. 1[μA]의 전류가 흐르고 있을 때, 1초 동안 통과하는 전자수는 약 몇 개인가?

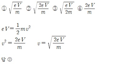
4. 간격 d[m]의 평행판 도체에 V[kV]의 전위차를 주었을 때 음극 도체판을 초속도 0으로 출발한 전자 e[C]이 양극 도체판에 도달할 때의 속도는 몇 [m/s]인가?



6. 비유전율 9인 유전체 중에 1[cm]의 거리를 두고 1[μC]과 2[μC]의 두 정전하가 있을 때 서로 작용하는 힘은 몇 [N]인가?
① 18 ② 20 ③ 180 ④ 200

답 ②
7. 진공 중에서 같은 전기량 1[C]의 대전체 두 개의 척력이 1[N]일 때, 두 대전체는 약 몇 [m]떨어져 있는가?

8. 점전하 Q1, Q2 사이에 작용하는 쿨로의 힘이 F일 때, 이 부근에 점전하 Q3를 놓을 경우 Q1과 Q2 사이의 쿨롱의 힘은 F '이다. F 와 F ‘ 의 관계로 옳은 것은?
① F > F' ② F < F'
③ F = F' ④ Q3의 크기에 따라 다르다
두 점전하 사이에 작용하는 쿨로의 힘은 다른 전하가 존재하더라도 거리와 전하량의 변화가 없으므로 불변이다.
답 ③
9. 전계의 세기가 E인 균일한 전계 내에 있는 전자가 받는 힘은?

10. 전계의 세기 1500[V/m]의 전장에 5[μC]의 전하를 놓으면 얼마의 힘이 작용하는가?

11. 전계 중에 단위 점전하를 놓았을 때 그것에 작용하는 힘을 그 점에 있어서의 무엇이라 하는가?
① 전계의 세기 ② 전위 ③ 전위차 ④ 변화전류
전계의 세기 E [V/m]
↳ 전장의 세기, 절연내력, 전위 경도
: 전계내에 임의의 한점에 단위 양전하 +1[c]을 놓았을 때 이 전하에 작용하는 힘의 크기
답 ①
12. 전위 경도 V와 전계 E의 관계식은?
① E=gard V ② E=div V ③ E=-grad V ④ E=-div V
답 ③

14. 50[V/m]인 평등전계 중의 80[V]되는 A점에서 전계방향으로 80[cm]떨어진 B점의 전위는 +1전위는 몇[V]인가?

① 20 ② 40 ③ 60 ④ 80
전계의 세기 50[V/m]의 의미 : 1[m]당 50[V]의 전압이 감소되는 방향으로 진행, 따라서 80[cm] 이동한 경우에는
50×0.8=40[V]의 전압이 감소되므로 전위 V=80-40=40[V]
답 ②
15. 다음 중 전기력선의 성질로 옳지 않은 것은?
① 전기력선은 정전하에서 시작하여 부 전하에서 그친다.
② 전기력선은 도체 내부에만 존재한다.
③ 전기력성능 전위가 높은 점에서 낮은 점으로 향한다.
④ 단위전하에서 1/ℇ0개의 전기력선이 출입한다.
답 ② 전기력선은 도체 내부에는 존재하지 않는다.
폐곡선, 교차하지 않는다.
전기력선과 수직으로 교차
도체표면 등전위면 도체내부에는 전계가 존재X
내부전위는 표면전위와 등전위
16. 전기력선의 성질이 아닌 것은?
① 정저한에서 시작하여 부전하에서 끝난다.
② 전기력선은 자신만으로 폐곡선을 만든다.
③ 전위가 높은점에서 낮은점으로 향한다.
④ 도체 내부에는 전기력선이 존재하지 않는다.
답 ② 전기력선은 자신만으로 폐곡선을 만들지 못한다.
폐곡선, 교차하지 않는다.
전기력선과 수직으로 교차
도체표면 등전위면 도체내부에는 전계가 존재X
내부전위는 표면전위와 등전위
17. 그림과 같은 등전위면이 존재하는 경우, 전계의 방향은 어느 방향인가?

① A ② B ③ C ④ D
전계의 방향은 전위가 높은점에서 낮은점으로 흐르므로 C 방향이다.
18. 5[C]의 전하가 비유전율 2.5인 매질 내에 있다고 하면 이 전하에서 나오는 전체 전기력선의 수는 몇 개인가?







① 0.5 ② 1.0 ③ 50 ④ 250
D=ℇE 식을 이용, D=10×5=50
답 ③


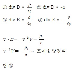
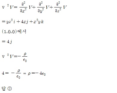
25. poisson의 방정식은?

26. 포아송방정식 어떤 식에서 유도한 것인가?




① Laplace의 방정식 ② Poisson의 방정식
③ Stokes의 방정시 ④ Thomson의 정리
답 ①

전속(유전속)
1[C] ⇒ 1100억개의 전기력선 실제
1[C] ⇒ 1개의 전속이 나간다
답 ④
30.패러데이관의 성질에 대한 설명으로 틀린 것은?
① 패러데이관 중에 있는 전속수는 그 관속에 진전하가 없으면 일정하며 연속이다.
② 패러데이관의 양단에는 양 또는 음의 단위 진전하가 존재하고 있다.
③ 패러데이관의 밀도는 전속밀도와 같지 않다.
④ 단위 전위당 패러데이관의 보유에너지는 1/2[J]이다.
- 패러데이 관 수과 전속선의 수는 같다
- 패러데이 관내의 전속 수는 일정하다
- 패러데이 관의 밀도는 전속밀도와 같다
- 패러데이 관 양단에는 정부의 단위 전하가 있다.
- 진전하가 업슨ㄴ 점에서 패러데이 관은 연속이다
답 ③

32. 무한평면 전하에 의한 외부 전꼐의 크기는 거리와 어떤 관계가 있는가?
① 거리와 관계없다.
② 거리에 비례한다.
③ 거리에 반비례한다.
④ 거리의 자승에 비례한다.




35. 한 변의 길이가 a[m]인 정육각형의 각 정점에 각각 Q[C]의 전하를 놓을 때 정육각형의 중심 0에 있어서의 전계는 몇 [V/m]인가?

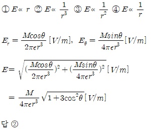
36. 전기쌍극자로부터 r만큼 떨어진 점의 전위 크기 E는 r과 어떤관계에 있는가?

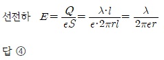
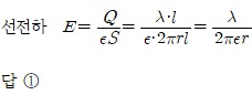
37.다음 중 거리 r에 반비례하는 전계의 세기르 가진 것은?
① 점전하 ② 구전하 ③ 전기쌍극자 ④ 선전하




40. 반지름이 a[m]되는 구도체에 Q[C]의 전하가 주어졌을 때 이 구의 중심에서 5a[m]되는 점의 전위는 몇[V]인가?


42. 그림과 같으 동심구에서 도체에 Q[C]을 줄 때 도체의 전위는 몇 [V]인가?



'전기(공사)기사 출제문제 > 전기자기학 출제문제' 카테고리의 다른 글
| CH6. 정자계 출제문제 (0) | 2022.01.13 |
|---|---|
| CH5. 전류 출제문제 (0) | 2021.12.20 |
| CH4. 유전체와 특수현상 출제문제 2 (0) | 2021.12.16 |
| CH4. 유전체와 특수현상 출제문제 1 (0) | 2021.12.15 |
| CH3. 도체계와 정전용량 출제문제 (0) | 2021.12.09 |